|
<< Click to Display Table of Contents >> Витяг за період |
![]() ![]()
|
Режим Витяг за період служить для звірки стану розрахункового рахунку або каси. Крім того, він служить для звірки банківських операцій по днях і фінансових операцій проведених через програму Торгсофт.

Мал. 1 (Версія додатку 1.13)
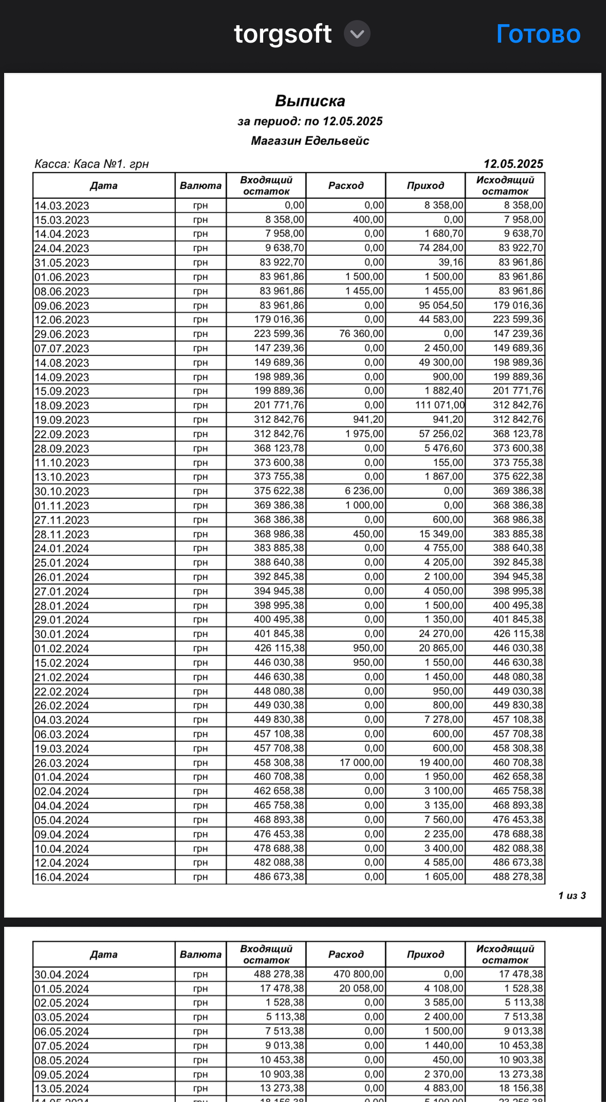
В даному звіті (Мал. 1) відображаються рухи по касі або розрахунковому рахунку відповідного вибраного значення з наступною інформацією: Дата, Валюта, Вхідний залишок, Витрата, Прихід, Вихідний залишок у відповідних рядках.
Для отримання даних натисніть Оновити.
В налаштуваннях доступні фільтри по Періоду, Центру обліку (Мал. 2). Для вибірка натисніть Застосувати.

Мал. 2 (Версія додатку 2.0)
По натисканню на кнопку Отримати звіт є можливість переглянути звіт у форматі pdf (Мал. 3).

Рис. 3 (Версія додатку 1.13)